[神经网络]02 卷积神经网络
这一章是扩展内容,课本上没有对应内容
卷积神经网络的目的是从低层特征开始,逐层抽象,逐渐得到高层特征,并根据高层特征完成各种任务(主要是分类任务)。
注意,CNN的任务主要是对于图像的分类,所以本章绝大多数数据都是二维的。
引子:计算机如何表示图像?
这部分大概可以不用看
- 我估计你肯定知道:矩阵嘛,彩图一般就是3维矩阵。
- 对于一张只有
的图片,简单计算一下,共需要12288个数据,如果按照常用的8bit色深来算,就是12288KB即12MB(当然照片的存储有压缩算法不会这么大,但如果是用于代码处理可就是实打实的12MB了)。 - 这个数据量其实对于电脑的压力已经很大了,为了降低图片处理的性能需求,人们开始寻找一种降低图片数据量,但又能尽量保持图片中有用信息的处理方法,卷积应运而生。
8.1 什么是卷积
卷积是一种对向量或张量的运算。简单来说就是:一边滑动窗口,一边矩阵点积。
卷积过程需要原始数据和卷积核两部分,两部分都是矩阵,卷积核中各元素的值就是权重。
8.1.1 一维卷积
对于一维数据,其卷积核也是一维的,即两者都是向量。
其运算过程就是将卷积核按照步长(默认为1)逐步遍历原始数据。遍历过程中卷积核会覆盖原始数据的一部分,卷积核与该部分做点积,计算结果就是卷积核在该位置的输出。
因此,卷积结果一定比原数据小,因为卷积核最多只能遍历
次,(其中n为原始数据的长度,m为卷积核的长度)。 下面我们看个例题:
8.1.2 二维卷积
- 对于二维数据,其步骤与一维类似,只不过原始数据和卷积核都是2维的。(通常来说,卷积核默认为
)
- 首先,将卷积核放在原始数据的边上(也就是一个角上,习惯上我们从左上角开始)
- 然后,让卷积核滑动整个原始数据。由于原始数据是2维的,所以遍历时要先横向遍历,然后纵向遍历,就和使用双层for循环遍历2维数组一样。
- 在每次滑动的过程中同样是计算一次内积,得到卷积结果。
- 这有张图表示的就不错:

- 这里我们同样有个例题
8.1.3 三维及高维卷积
- 经过上面两种卷积过程,你应该已经对卷积运算有一定理解了。
- 卷积的实质是从原始数据中获取一个维度相同但规模稍低的映射,也就是原始数据的特征。而卷积核反映了特征提取时对于特征的偏好性。
- 高维卷积也是让卷积核按照顺序,滑动过原始数据的每个维度,并计算内积,拼成卷积结果。
8.1.3 填充:应对图像无法整除卷积步长的情况
填充(Padding)是处理该问题最主要的方式
需要说明的是,步长为1的时候是不需要填充的,因为卷积核每次移动一个单位不会出现无法整除的情况。
- 当原始数据为
,卷积核边长为 ,步长为 时,脑补一下卷积过程:卷积核从原始数据的左上角开始,横向移动范围 ,纵向移动范围 ,每次移动 个单位,如果这两个值不能被 整除,则需要填充到可整除。
一般来说,padding既可以在各维度的最后补足,也可以在各维度的首尾都补充,非要说的话,大概默认是最后补足。
8.1.4 估算卷积结果尺寸
以二维卷积为例
- 第一反应肯定是:
和 嘛,大体是这个思路,但还不太严谨。 - 首先考虑一下极端情况:当
时,卷积结果还是个 嘛,这和上面那个公式不同。所以说:至少有个保底的1。 - 然后就像上面说的,如果
不是整数的话,一般会padding使其上取整。 - 因此总结出:卷积结果宽度为:
,中括号表示上取整;高度的话将 换成 即可。
8.2 卷积神经网络的特点
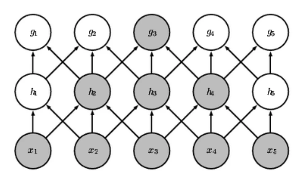
8.2.1 稀疏连接(局部连接)
稀疏连接是与全连接相比而言的。全连接指的是神经网络中,每个神经元都与前一层所有神经元相连,而稀疏连接则是每个神经元只与前一层的部分神经元相连。
在简单的多层感知机中,假设第
层有 个神经元,第 层有 个神经元,那么单单这两层,就有 个权值(这还没算每个神经元的阈值/偏置),参数量非常大。 但是在卷积神经网络中,每个神经元只与前一层的部分神经元相连,因此参数量大大减少了。
- 感受野:这个词可以类比“视野”,指的是某个神经元的输入的来源范围。
- 直观感觉似乎感受野并不大,毕竟某个结点的输入只来自前一层结点,更别说CNN还是稀疏连接。但其实这是个递归的过程,从输入到某层结点感受野是逐层扩大的。

8.2.2 权值共享
权值共享同样是针对于全连接来说的。在全连接中,任意
到 都存在一个权重 。 但是我们脑补一下卷积过程:卷积核在前一层遍历求一遍内积,后一层的结果就出来了。中间所有结点间都依赖的是一个公共权值:卷积核,这就是权值共享。
权值共享机制相比于直接全连接,非常省参数量和计算过程,以下是一个证明例题
- 权值共享:任何神经元的卷积过程,其权值都是一样的,即卷积核。
(2) 等变性
- 先卷积再平移,和先平移再卷积的结果是一样的。
别小看这个特点,它的存在使得CNN可以学习到更多的特征,而且这些特征是平移不变的。
8.2.3 池化(Pooling)
池化:直接将原始数据分块,然后对每一块各自采取某种操作(如最大池化就是每一块取出最大值),最后将各块的结果拼起来。
池化的实质是下采样,通过这种“分块选取表征”的方式减小表征大小,从而减少参数量和计算量。
不变性:对平移、旋转等变换操作具有近似不变性。
8.3 CNN分析
- 应用:图像处理(最常用)
- 缺点:感受野有限,不善于处理长距离依赖
Ques-08 例题整理
[计算·一维卷积]
题目内容

- 对于如图所示的一维数据(下面一行),其卷积核为
,若步长为1,请计算其卷积后的结果(其实就是上面一行)
分析与解答
- 其实知道卷积的原理后就是个送分题:先把卷积核贴住某一边,然后让卷积核逐渐在原始数据上滑动。
- 一开始,卷积核
覆盖了 ,则卷积核与该部分做点积,结果为 ,因此卷积后的结果的第一个元素为 。 - 然后让卷积核向右移动1,此时是卷积核
覆盖了 ,此时再点积,为 - 以此类推,按照上述过程滑动,可得上面一行的整个卷积结果。
[计算·二维卷积]
题目内容
- 假设原图像如下:
- 卷积核如下:
- 分别计算步长为1和步长为2的卷积结果
分析与解答
这题就是个简单的卷积计算,知道定义就能算,所以不分析了直接给答案
步长为1:
[证明·权值共享]
题目内容
- 若输入层大小为
,输出层大小为 ,卷积核大小 ,比较卷积和全连接的参数量和加法/乘法次数
分析与解答
| 卷积 | 全连接 | |
|---|---|---|
| 参数数量 | ||
| 加法&乘法次数 |
- 这个表格来自PPT,但我觉得似乎有些地方不够严谨....将在之后分析
(1) 参数量
- 这部分整体都好理解。卷积参数量就是卷积核,2个;全连接由于输入层
个神经元和输出层 个神经元之间都有连接,每个连接上都有权值,所以总共是 个权重。
(2) 加法&乘法次数
卷积:
- 卷积核要与覆盖部分算内积,卷积核2个元素分别乘法,然后把乘积结果加起来,2次乘法1次加法共3次没问题。
- 但问题是卷积核共遍历了多少次呢?实际上是
次,但这里却写的 ,所以我认为他此处写的不严谨,只是表示个数量级罢了。
全连接:
全连接时就完全不用看卷积核了。
- 任意一个输出层神经元
,其输入的公式为 ,此时就有 次乘法, 次加法了。这种运算要多少次呢?共有 个输出层神经元,所以共需要 次运算。 - 我认为到这里就结束了,但不知道为什么是
......
- 任意一个输出层神经元
[概念理解·CNN各结构的作用]
题目内容
- 请解释CNN的基本结构,包括卷积层、激活函数、池化层和全连接层。每种类型的层在CNN中的作用是什么?
分析与解答
- 通常来说,一个CNN包括卷积层、激活函数、池化层和全连接层。各部分的作用如下:
- 卷积层:特征提取。在卷积层使用一个或多个卷积核对输入的矩阵进行卷积运算,可以得到特征图(feature map),该过程即特征提取。
- 激活函数:增加非线性。激活函数对卷积层的输出进行非线性变换,使得CNN可以拟合复杂的函数。常用的激活函数有ReLU、sigmoid、tanh等。
- 池化层:减少参数量,防止过拟合。池化层对特征图进行下采样以减少参数的数量,提高计算效率和泛化能力。常用的池化方法有最大池化、平均池化等。
- 全连接层:输出结果,完成分类或回归任务。全连接层将池化层的输出降维,然后将其通过Softmax函数或线性函数映射得到分类结果或回归预测值。
